培训信息
当前位置: 首页 >> 培训信息 >> 正文

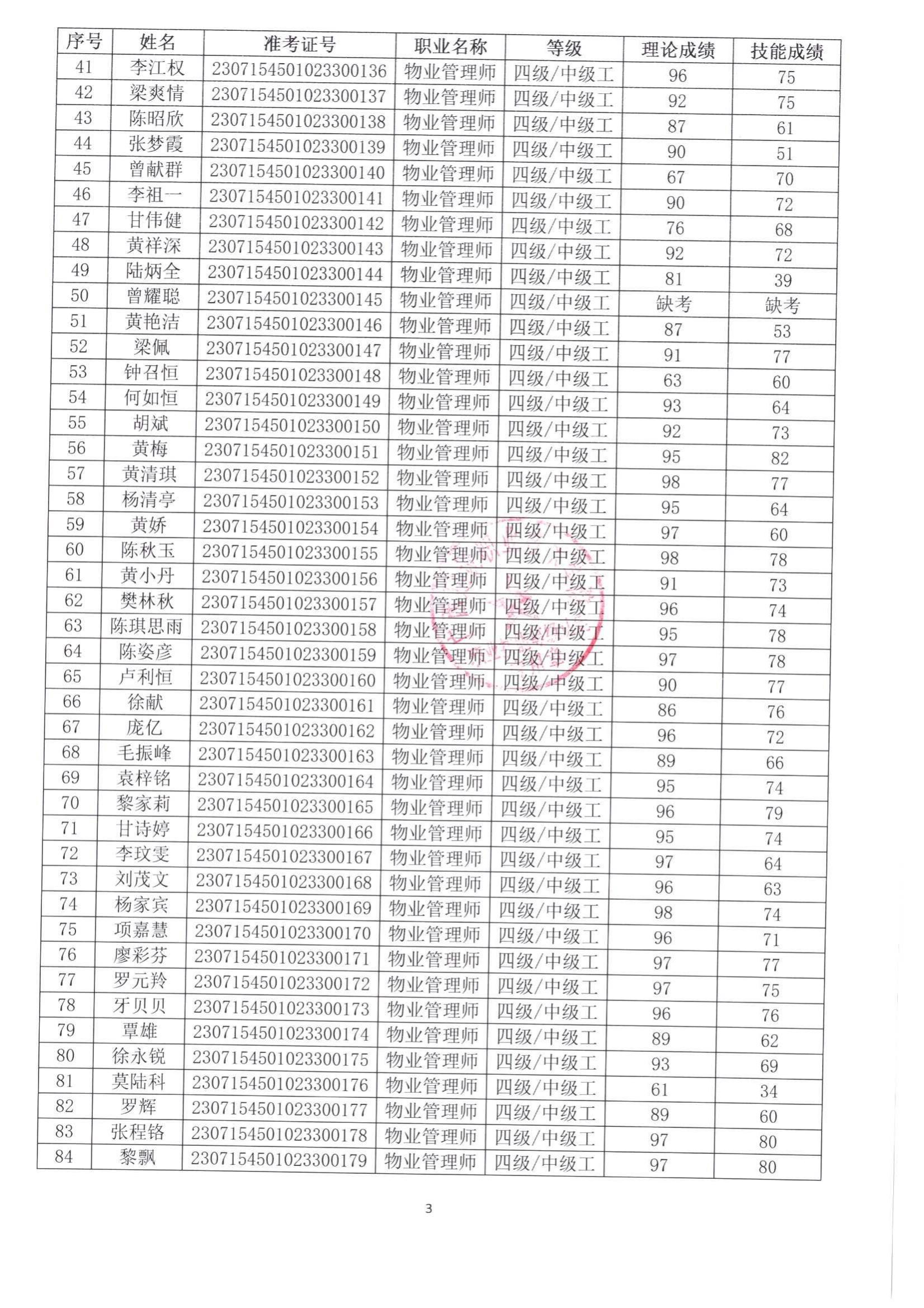
2023年伟德国际1946源于英国第7批职业技能等级认定人员成绩公示

发布日期:2023-08-21    点击:


伟德国际1946源于英国  版权所有 桂ICP备05014267号

伟德国际1946源于英国信息中心  技术支持